Lugar de origem: | China Guangdong Zhongshan |
Marca: | BLK 7985 China |
Número do modelo: | Preto 7985 |
Quantidade de ordem mínima: | 100kg |
---|---|
Detalhes da embalagem: | 10kg/bag bag+carton plástico laminado de alumínio |
Tempo de entrega: | 10 dias de trabalho |
Termos de pagamento: | T/T, L/C, D/A, D/P, Western Union |
Habilidade da fonte: | 300 toneladas |
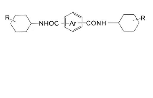
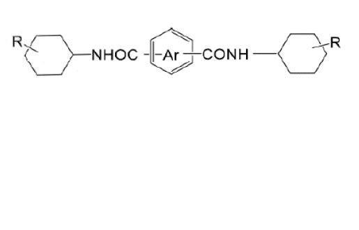
Estrutura de Chem: | N, dicarboxamide de N'-dicyclohexyl-2,6-naphthalene | CAS: | 153250-52-3 |
---|---|---|---|
Aplicação: | Alteração da propriedade dos PP | Nome químico: | agente nucleating (do beta) ß |
Name modelo: | Preto 7985 | Compund: | Composto arílico do amido |
Pureza: | 99% | Sinônimos: | TMB-5 |
Destacar: | TMB-5 PP que esclarece o agente,153250-52-3 PP que esclarecem o agente,Pureza PP de 99% que esclarece o agente |
• Agente de esclarecimento do preto 7985 para PP
Fabricante de esclarecimento do agente da parte superior de China.
Amostra grátis por Fedex UPS para a experimentação.
Transporte rápido de China.
Características
• O agente nucleating BLK-7985 (TMB-5) é uma variedade representativa de amido-tipo agente nucleating do β-cristal do polipropileno. Pode dissolver-se no derretimento da resina na temperatura de processamento do polipropileno (PP), e recrystallize com a diminuição da temperatura do derretimento para formar cristais haste-dados forma com prolongamento maior, assim induzindo a nucleação dos PP com cristais β-cristalinos para melhorar a resistência ao impacto, a temperatura de deflexão de calor e a microporosidade dos produtos. Ao contrário, BLK-7985 (TMB-5) tem uma estrutura estável e o índice β-cristalino dos PP não é afetado pela extrusão repetida do derretimento.
Aplicação
• Amplamente utilizado em umas tubulações de PP-R, uns produtos da modelação por injeção e processo seco da preparação do diafragma da bateria de lítio, e ele tem o bom efeito sinérgico com carbonato de cálcio. Além, BLK-7985 tem uma nucleação que promove o efeito em polybutene-1 (PB-1).
Propriedades físicas e químicas
• O additon real depende do polímero e das propriedades de produtos do revestimento.
• As propriedades acima estão verificadas por suficientes testes de laboratório, quando não for a garantia. No uso do processo da quantidade específica ser baseado na formulação de processos do equipamento e da outra consideração detalhada.
Pacote & entrega
• 10kg/bag saco de plástico laminado de alumínio, umidade - caixa da prova + de papel ou ou customerized
• 100-1000KGS 5 dias, 1000-10,000 QUILOGRAMAS 15 dias etc.
Manipulação e armazenamento
• Armazenado no seco e ventilado dentro do reservado, impeça a luz solar direta, levemente a pilha e para colocar.
• O vestuário de proteção deve ser vestido quando os operadores estão segurando, ou ser exposto a, este produto. Veja o MSDS para um conselho detalhado mais adicional.
Pessoa de Contato: Mr. SUPING. JIANG
Telefone: +86 135 2473 2599
Inseticida agrícola de CAS 62-73-7 DDVP, EC 1000 de DDVP para a proteção de colheita
Resíduo 100% do inseticida do EC CAS 62-73-7 DDVP da baixa toxicidade baixo
Inseticida de atuação rápido do Dichlorvos de CAS 62-73-7 50% para afídios do algodão
Inseticida CAS 62-73-7 do Dichlorvos do EC da proteção de colheita 77,5%
O controlo de pragas CAS agroquímico 62-73-7 DDVP pulveriza para moscas dos mosquitos
Inseticida de CAS 62-73-7 95% DDVP, inseticida da árvore de fruto
O agregado familiar usa o inseticida sistemático do Dichlorvos de C4H7Cl2O4P orgânico
Pulverizador largo poderoso do inseticida do milho do espectro da pureza alta nos cilindros 250KGS
Contato forte do efeito que mata 10ppm o produto químico do pulverizador do arsênico DDVP
Líquido agrícola do inseticida do Dichlorvos de 200-547-7 99%
Tolere o pulverizador do Dichlorvos de CAS 62-73-7 do envenenamento para a saúde pública